- 全國統一銷售熱線:
- 北京總部:
- 010-64437473
- 上海:
- 021-62113795
- 深圳:
- 0755-86241216
超高壓水射流形成過程中壓力損失的理論分析
時間:2012-11-15 來源: http://m.kuaijiuu.com
超高壓水射流在形成過程中的流動可以分為三類:即水流在水平直線管道中的流動、水流在彎管中的流動以及水流在流道斷面收縮處的流動。水流在高壓管道中的流動屬于第一種情況,而水流由高壓管道向噴嘴過渡的流動屬于第二種情況,最后水流由高壓水發生設備進入高壓管道以及高壓管道進入高壓噴嘴時的流動屬于第三種情況。
令水流在高壓管道和噴嘴中的速度分別為
和 υ,高壓管道和噴嘴的內徑分別為
和 d,長度分別為
和 l,則由連續方程可以得出:
一、水流在水平直線高壓管道中運動時的壓力損失
水流在水平管道中運動時,由于水流的粘性,水流與管壁的摩擦是造成壓力損失的主要原因。根據卡門-普朗特爾經驗公式,在雷諾數
時,使用管道為光滑管時,水流在水平直線高壓管道中運動時的流阻系統為:
高壓管道中雷諾數
,其中μ為水的動力粘度,ρ為水的密度,將其代入以上公式并化簡,可得水流在水平直線高壓管道中運動時的壓力損失為:
二、水流在彎管中運動時的壓力損失
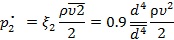
在彎管中,管壁迫使水流的速度和方向發生改變,水流收到向心力的作用,容易產生脫流現象,形成旋渦而造成壓力損失。那么,當彎管為標準的肘管時,流阻系數可取
,則水流在經過彎管時,高壓管道向噴嘴過渡時的壓力損失為:
三、水流在流道發生斷面收縮時的壓力損失
在流道發生斷面收縮時,流股先發生收縮,然后逐漸擴散,在斷面后出現的局部分離脫流是造成壓力損失的主要原因,此時流阻系統ξ主要取決于發生變化前后流道橫截面積之比,截面積變化越大,流阻系數越大,實驗結果顯示,當水流從大容器流入銳緣進口的管道時,流阻系數為
。因此,超高壓水流由穩壓容器進入高壓管道時壓力損失為:
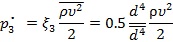
超高壓清洗機配套的高壓管道和高壓噴嘴的內徑變化之比小于0.1時,流阻系數
為0.49,所以水流在由高壓管道進入高壓噴嘴時的壓力損失為:
綜上所述,我們可以看出超高壓水射流在形成過程中,壓力損失主要是由水流從高壓管道進入高壓噴嘴時流道發生斷面收縮引起。
上一篇:超高壓水射流流動過程中壓力損失的理論分析
下一篇:超高壓水射流速度的實驗研究
- 標簽:
- 理論
- 分析
- 形成
- 過程
- 壓力損失
- 超高壓水射流
高壓清洗機在管道及工業清洗應用中噴嘴的
2012-08-06
高壓清洗噴嘴、噴頭的性能參數
2017-06-30
高壓清洗機噴嘴截面積計算—圖表法
2013-04-15
如何判斷高壓噴嘴是否需要更換
2011-12-15
高壓清洗機噴嘴直徑、膠管內徑與射流打擊
2013-04-27
高壓清洗機日常維護:噴嘴的磨損因素及更
2018-08-22
高壓水去毛刺機專用噴嘴介紹
2018-07-16
高壓水射流破碎混凝土的優點
2018-07-04
高壓清洗機在管道清洗時的注意事項
2018-06-28
高壓水射流清洗安全注意事項
2018-06-20



